SDEEC-AIR0:16kw- 2 Éch-Maison/Piscine+Rad/PC-Auto-instal

Répondre
Avatar du membre
Alkhasar
Très assidu
Très assidu
Messages : 171
Enregistré le : lun. nov. 28, 2011 4:56 pm
Localisation : Dans la galaxie de l'Eau Vive
Travaillez-vous dans le domaine des énergies ou du chauffage : Non
Contact :

SDEEC-AIR0:16kw- 2 Éch-Maison/Piscine+Rad/PC-Auto-instal

Message par Alkhasar »

Bonjour à Tous,

Après quasiment 9 mois d'assez grande galère :twisted: :twisted: :twisted: , je viens présenter mon auto installation de la machine en objet. (Promesse à Vincent et partage pour tous)
Je me contenterai de rester sur le point de vue technique de partage en évitant de parler du fournisseur, qui a une manière "bizarre" de gérer ses clients et le mot est plus que faible !!
J'ai attendu 4 semaines (16/10 au 16/11) le 5ième passage de technicien, pour mettre en activité la loi d'eau, cette dernière ne pouvant s'activer, car deux sondes étaient câblées en // sur la sortie échangeur.....la 25ième erreur de projet……

1°) SITUATION GÉOGRAPHIQUE
Image
- Sur les hauteurs d'EVIAN à 490 m d'altitude: face au lac Léman...belle vue mais bise parfois très dure !
- Brouillards fréquents en hiver , mais avec baisse de T° modérée par rapport à l'altitude;
- DJU estimés par moi à partir des données météo de Thonon les Bains # 2800 °;
- nombre de jours de chauffage = 196


2°) DONNÉES CONCEPTUELLES DE LA MAISON
2.1) Bases
Ma maison est un peu atypique et les données de base sont les suivantes :
Conception semi-passive de thermicien "sans nord (60 cm sur 12 m de façade) "et sur-isolée pour 1997, avec zones tampons à l'Ouest et à l'Est , vide sanitaire et maison ouverte sur étages ( PC prioritaire)
Surface : 256 m2 habit. un peu plus pour le < 1,8m .
Volume total : 633 m3
Facture énergétique 3880 litres de FOD et élevée chez EDF ( pompe filtration 12 H /J et déshumidificateur piscine intérieure)
Piscine intérieure sur-isolée et couverte par VR électrique de 32 m2 / 40 m3 à 29 °C toute l'année .
Hygrométrie contrôlée à 65 % dans un local de 70 m2 comptés dans les m2 totaux donnés ci-dessus.
Moment inertiel thermique très élevé ( isolation extérieure et bassin intérieur à 29°C)
Le PC s'arrête à T>10 °C extérieur, à 21/22 en équilibre avec la T° du salon (21°C) où se trouve la sonde d'ambiance.


2.2) Équipements thermiques et électriques anciens
* Chauffage au FOD avec Diematic de Dietrich GTU115 Brûleur 30 kw ,
* réglée en bas excès d'air et BT° des fumées : Rendement 93/94 % sur PCI;
* ECS À 55°C sur 150 L.
* 4 émetteurs Chal : PC +Rad+ Échangeur tubulaire Piscine HT+ Batt déshumidificateur
1°) Chauffage Plancher de 114 m2 au RDC 30°C
2°) radiateurs en tôle surdimensionnés aux étages à 45°c max pour 110 m2
3°) Chauffage piscine par échangeur tubulaire PSA Heatline 40 en Titane 40 Kw 80°C
4°) Chauffage Air piscine par batterie 15 kw à 85°C sur déshu.
* Déshumidificateur Piscine PSA DF4G 1500 M3/h 2600 W abs en 3x380 V.
* Isolations : N ; E & N-O 12cm polystyrène éxtérieur.
* Au Sud et O: 10 cm polystyrène intérieur classique
* Toitures S & O LV DE 20 cm- À l'est dessus piscine 30 cm - Bassin isolé au sol (5cm) et ultra isolé en périphérie (1m)
* Double vitrage AgO EKO 4/12/4 ou 4/16/4 Menuiseries Bois/Alu à rupture de ponts therm.
* EDF 18 kwh en Tri

2.3) RÉSUMÉ des DONNÉES de CONSOMMATION EN FOD
En kwh /an
ECS : 1825
PISCINE: 20288
CHAUFFAGE : 15 522
TOTAL : 37 688

en kwh /m2.an
ECS: 6,6
PISCINE : 73,66
CHAUFFAGE : 56,36
TOTAL: 136,83

Pévision initiale de ma modélisation : passez à 9500 kwh/ an

Ce qui n'est pas gagné d'après les premières réactions au froid ???



3°) INSERTION D'UNE PAC SDEEC RMP 55/ 16 KW Tri Basse T°( 55°C Maxi)

3.1°)Descriptif général
PAC SDEEC nommée RMP 55, réversible, au R410 a, "Piscine/Maison" avec un échangeur à plaques Inox pour la partie chauffage classique et un 2ième échangeur à plaques aussi en Inox pour la partie piscine.
L'ensemble est soutenu par des électrovannes de commutation et un micro chiller Carel local sur la machine, ainsi que les sécurités et sondes locales ordinaires.


NOTA Le premier échangeur en titane tubulaire a été refusé par moi.
Il présentait un COP de 2,3 maxi en plein été.
La machine a fait l'objet d'un retour de 7 semaines en usine pour monter un échangeur à plaques qui a permis d'atteindre des COP de 4,5 en été.
Ceci était un point capital, car sur un besoin annuel de 36.000 kw 60 % sont pour la piscine intérieure à 29°C

Photo de la PAC Ouverte
Image

PAC traditionnelle "old fashion" sans automate , entièrement sur relayage.
Machine peu "communiquante"...pas question de belle interface déportée, de clefs Usb, de prises de contrôle à distance par WEB, mais on reste maître chez soi ??
Quelques paramètres en accès local dans le Chiller. ( heures de marche / alarmes pressions et 4 sondes de T°) ; Ce n'est pas une machine multiplexée comme nos voitures modernes depuis 10 ans ...Un bien ? Un mal....On verra .


3.2°)Adaptation à mon projet
La machine et ses automatismes ont été modifiée pour fonctionner sur mon cahier des charges en alternance journalière sur un mode annuel totalement automatique ( ECS/ Maison/Piscine), alors qu’elle a été conçue en alternance saisonnière manuelle seulement ( Hiver maison / Inter saison = Piscine)

Ceci a posé de nombreux problèmes par sous estimation de SDEEC de l'analyse organique non faite et des tests usine mal réalisés ( hors conditions réelles)

Tous les automatismes de personnalisation tiennent dans les deux boîtiers ci-dessous:
Image


3.3°) SCHÉMA GÉNÉRAL D'INSERTION & DE L'INSTALLATION FINALE
Image

3.4°) MODES DE FONCTIONNEMENT
La PAC fonctionne annuellement en automatique et alternance journalière sur ses deux échangeurs internes
(modification par boîtier externe de SDEEC , tout en gardant les modes standard d’origine de la PAC).
Un ballon en bain marie fait découplage pour le chauffage en enveloppe externe et stocke la préchauffe de l' ECS dans la réserve centrale.
La chaudière est en mode ÉTÉ permanent pour finition ECS

Sur le mode «  MAISON » du commutateur 1 externe de ma PAC, et activation du mode chaud en hiver, en quelque sorte mode « AUTO » 6 modes sont possibles :

MODE 1 : Priorité Ø - marche Hiver ou Été T° forcée sur ECS
La régulation centrale de la PAC est leurrée par une résistance et un TC contrôle l'ECS au bon vouloir utilisateur ( T° basse en hiver et plus haute en été)
En été, on peut si on le veut, arrêter la chaudière et vivre sur l'ECS PAC à 55°C ( by pass ballon chaudière)
La chaudière finit l'ECS en Hiver pour la mener de la T° du ballon nouveau à 55°C.

Mode 2 : Piscine - Priorité 1:

Sur demande de la filtration : commutation du circuit frigo sur échangeur plaque piscine. Arrêt du fonctionnement dans ce mode sur Thermostat réglable, par 1/10 °C.sur la T° d’eau filtrée.
La PAC passe ainsi sur une T° au condenseur fixée par la T° Piscine. C'est à nouveau une deuxième résistance leurre qui by pass le chiller.
Loi d’eau non modifiée pour la marche « Maison ». Pendant ce temps la maison, « vit » sur sa très grande inertie. Les accélérateurs PC et radiateurs continuent leur activité en tant que de besoin sous contrôle de leur station de régulation respective

Mode 3 : Maison  Priorité 2 :

Basculement sur échangeur à Plaques Interne
Retour PAC sur loi d’eau en : Priorité 2 ou
Retour PAC sur demande ECS sur horloge aux heures creuses ( mode
Sécurités de basculement dans les deux sens « M>P ou P>M »:

Mode 4 Priorité 3 : Relève partielle

Sur contrôle thermostatique de la T° extérieure( froid intense) une relève chaudière s'enclenche et une V3V dirige l'eau du primaire chaudière vers le ballon grâce à l'accélérateur de la batterie d'eau chaude du déshumidificateur piscine.
La température du ballon ECS ( central) prend le contrôle du stockage et override la T° du retour PAC ( ballon extérieur).
Ainsi la PAC ne fonctionne plus que pour la piscine avec une T° de 29°C au condenseur.

Mode 5 Priorité 4 : Relève totale
La relève totale par très grand froid ( T° ?? -5/-10°C) est entièrement manuelle et est décidée par l'utilisateur .
On passant la chaudière en automatique et ré ouvrant tous les circuits chaudière normalement fermés.
Le stockage du TIT est bypassé

Mode 6 : Alarme HORS GEL

Une sonde supplémentaire contrôle en permanence la T° extérieure sous l'isolation d'une conduite piscine.
Sur décision d'une T° réglable ( T° <5°C) qui montrerait une panne du circuit de filtration, la PAC prend le contrôle de la filtration et il y'a émission d'une alarme sonore en local chaufferie.

4°) TRAVAUX
Le suivi partiel des travaux avant démarrage peut se faire ici :
http://www.chaleurterre.com/forum/viewtopic.php?t=14348&

J'ai réalisé tous les travaux de pose (études de détail , génie civil, PVC nouveau circuit piscine, électricité fort et faible et mon voisin ex frigoriste en Suisse m'a fait toutes les soudures Cuivre)

Voilà la PAC à ce jour sur ses socles.
Perfectionnement avec grilles d'arrêt des feuilles, pour éviter de boucher le drain se trouvant sous les goulottes câbles et tuyaux.
Image


Voilà les deux stations de gestion des radiateurs et plancher chauffant.
Chacun a une commande RF. La V3V du PC est aussi gérée par le régulateur Honeywell.
On y voit aussi que j'ai un peu trop serré mes éléments, vers le ballon et que mon récepteur Rf de PC manque "un peu d'air" ...c'est certain !
Image


5°) TRAVAUX POST DÉMARRAGES
Ils ont été assez nombreux pour corriger les erreurs du fournisseur et la pauvreté de la signalisation intérieure.
De plus , le ballon livré est très très loin d'avoir la qualification de ballon solaire, même si c'est un tri énergie avec serpentin solaire intégré! ( CF plus loin)

5.1°) MOV V2V Circuit piscine
Après le retour PAC pour changement de l' échangeur Titane tubulaire à faible COP , je me suis aperçu que le nouvel échangeur à plaques me faisait perdre 0,7 bars de delta_p et probablement plus de la moitié du débit de filtration ( 7 m3/h au lieu de 15/16 m3/h ).
La raison a été dans le design de cet échangeur choisi avec des sorties en 3/4 " au lieu de 1 , ce qui aurait été moins catastrophique , pour se raccorder au PVC de ø 50
De plus la PAC livrée un lundi, on m'a imposé le recâblage le mardi et la connectique PVC ayant totalement modifiée!!
J'ai du en urgence mettre deux coudes Cuivre sur chaque ligne PVC ( Aller et retour) ( des ennuis futurs avec Cu et Brome…!!), ce qui n'a rien arrangé !
Cette situation étant inacceptable pour la stérilisation du bassin,( taux de renouvellement trop faible).....
J'ai appelé SDEEC qui a botté en touche, en ne rapportant pas les paroles prononcées.

J'ai donc installé à ma charge une V2V qui commute sur l'ancien circuit quand la chauffe piscine est finie, afin de faire baisser le ∆P et augmenter le débit de filtration.
Heureusement , j'ai une pompe surdimensionnée et j'espère qu'elle tiendra cette surcharge de travail dans l'avenir.
Voilà une vanne qui vaut une fortune : elle peut atteindre 500 € HT seulement car le servo moteur se monte sur corps en PVC !!
Au-dessus de la vanne ancien échangeur tubulaire PSA connecté au primaire chaudière.
Image
J'ai galéré un max pour la négocier presqu'à la moitié ! (-40% 280 €)
Les corps laiton sont bien moins chères !! (150 €)

Hypothèque à suivre : Tenue dans le temps du Cuivre et des raccords entre le PVC et le 304L Inox de l'échangeur à plaques ? Voir photo annexe 7.5

5.2°) Installation d'un compteur L&G Tri homologué EDF pour suivi PAC seule: il est visible sur la photo des boîtiers ci-dessus.

5.3°) Installation d'un deuxième L&G Tri pour suivre la consommation globale de la maison.
Image
J'ai encadré les ajouts par rapport à l 'ancienne situation. Compteur énergie L&G magnéto-thermique PAC 380 sous le différentiel de tête, le repérage des phases R,S,T,/ l'horloge qui autorise la surchauffe en ECS sur le bain-marie.
J'ai passé mon Chacon , très mauvais en Tri pour surveiller le deuxième plus gros consommateur de la maison, soit le déshumidificateur de la Piscine ( PAC PSA)


5.4°) MOV V2V anti thermo siphon sur circuit primaire PAC.

J'ai été très vite alarmé par la consommation excessive de kwh pour tenir le ballon en ECS en été. J'ai donc fait un essai de perte journalière en fermant toutes les E/S du ballon pour constater avec effarement que les pertes avec de l'eau à 50°C étaient de 7500 W par jour.
45 % étaient dues au siphonnage permanent du ballon vers la PAC et les 55% restants (déduits par essai vannes du Circulateur primaire fermées) dues à la mauvaise qualité de la mousse isolante alvéolée style "mousse polyéthylène basse qualité de matelas ".

Ceci est le double de la norme de vitesse d'abaissement de T° d'un ballon qualifié pour le solaire.

J'avais pourtant fait une lyre sur le retour à l'aspiration du circulateur avec + 80 cm de U soit 30 fois le diamètre.
Comme un idiot, je l'avais calorifugé sans réfléchir mais sa mise à l'air libre, comme sur le vase d'expansion ( là cela marche) n'y a rien fait et je me suis rendu compte que je siphonnais à grand débit par le retour à la PAC !!
Ceci m'a empêché d'installer un clapet anti siphon et j'ai donc du installé une autre V2V asservie à la marche du circulateur primaire, avec deuxième main au portefeuille, chez le même fournisseur d'instruments, mais pour moins cher.

Voilà la MOV V2V "Anti thermo-siphon" sur le circuit primaire de la PAC
Image

5.5°) Sur isolation du ballon
Troisième main au porte feuille pour calorifuger , comme j'ai le ballon avec un complexe multi couches alu peu performant, mais doublé de styrodur de 8 cm.
(Ce n'est pas fini !!)
Il est très difficile de faire ce genre de boulot proprement ( fuites d'air et plage étanche) et c'est un gros regret de ce projet, entre autres…ballon sûrement bas de gamme italien ou espagnol avec mousse chinoise ??

Pour compenser, j'ai installé un ventilateur d'extraction, asservi au M/A PAC, sur l'air à 23°C de la chaufferie et je le recycle au pied de l'évaporateur ( CF photo en 7.2)....
Augmentation espérée ???? du COP et diminution de fréquence des dégivrages en hiver...
Des avis de spécialistes m'intéressent, car je ne voudrais pas que ce soit une "fausse bonne idée" ???
Reste à le calorifuger , hors ses trous !

5.6°) Signalisations lumineuses des modes.
L'ergonomie du fournisseur étant spartiate, j'ai amélioré le contrôle avec
des témoins de couleur fonction des 6 modes de marche ( 4 lampes couleur, un buzzer, un M/A général et une led de report de PAC en défaut)
[Image


5.7°) Suivi des consommations électriques par orinateur.
J'ai acquis deux clefs USB chez nos amis d' ADTEK et je suis en temps réel sur mon MAC les consommations et marche arrêt de ma PAC grâce à Consowatts de P. Blaya.

Voilà une capture d'écran.
Image

À gauche et milieu bas le module PAC :
Notez que par la conjugaison de l'inertie, de la filtration piscine en HC et le programme du PC j'arrive à "bourrer" la PAC au maxi en HC...C'est une capture de ce jour avec 0,9°C dehors et on peut compter le nombre de dégivrages , grâce au décrochages de puissance (6)

À droite et au milieu en haut: le suivi global maison.


6°) DIFFICULTÉS DE MISE AU POINT
6.1°) galère de plusieurs jours pour comprendre le fonctionnement de la station Honeywell sur le PC .
Très mauvaise ergonomie de report d'info ( la station tourne et le régulateur ne le dit pas ..)
Et surtout, la V3V de mélange était configurée comme une vanne à gauche par SDEEC alors qu'elle était installée à droite, donc elle marchait en TOR uniquement.
J'ai longtemps cherché pour y arriver et la documentation était peu claire..

6.2°) révision complète par moi de la gestion de la relève partielle, qui ne me convenait pas. (Arrêt sur primaire chaudière)
Ai réalisé une relève sur thermostat ECS du bain marie qui empêche la PAC de démarrer en même temps en mode maison, mais qui laisse le mode piscine possible à plus basse T°.
Ce point n'avait pas été compris par SDEEC, qui ne respectait pas le cahier des charges.
Ai aussi intégré un brassage du ballon en relève pour homogénéiser les T° haute ( bain marie) et basse du ballon (sonde PAC)

6.3°) Galère absolue avec des plans incomplets , voire faux, sans liaison entre eux et avec même des relais différents portants le même numéro !

7°) PHOTOS ANNEXES
7.1) Ancienne installation Chaudière
Avec ces 4 émetteurs de chaleur, elle monte la garde pour les très grands froids......T< -5/-7°C ??
Image

À noter en encadré rouge le circulateur ancien qui fait circuler l'eau chaude à 75 °C sur la batterie ECH du déshu ou la relève partielle sur consigne de T° extérieure.

7.2) Détail recyclage air chaud perdu en chaufferie .
Devant la chaleur énorme perdue en chaufferie , j'ai installé un ventilateur d'extraction qui insuffle l'air aspiré au travers d'une clarinette bricolée par moi au bas de l''évaporateur.
Image
À nouveau commentaires les bienvenus !

7.3) Nouveau ballon de 400l dont 150 en bain marie , pour préparation ECS.
Sur-isolation en cours de finition : difficile de faire du propre !!
Il est moins beau qu'à l'origine, mais il perd moins !
Image

7.4) V3V qui fait la relève partielle
Dérivation du primaire chaudière vers deux E/S intermédiaires du ballon PAC, grâce au circulateur ancien du déshumidifcateur.
C'est une motorisée 3 points (+chère) au lieu d'être une TOR ( Pour ma poche aussi, invisible au devis original SDEEC)
Image

7.5) Détail du manifold extérieur de la PAC: à revoir
Souligné en encadré rouge : isolé on devine le double retournement du PVC qui arrivait au 1/4 arrière du casing PAC et qui est passé au 1/4 avant après changement du titane tubulaire pour un plaque Inox.
Ce point sera revu l'année prochaine mais il faut refaire tout le manifold PVC et en profiter pour supprimer les coudes et le maximum de raccords cuivre...
Image


8°) BILAN FINANCIER
Le projet m'a coûté 19.800 € TTC en incluant l'achat d'un chalumeau d'occasion à 350 € et un WE gastronomique chez G. Blanc pour mon ami voisin Momo, grand braseur tous métaux, devant l'Éternel et je le remercie de plein droit.
Je n'ai pas pris l'option crédit impôts, en préférant faire cela avec ma société pour récupérer la TVA et amortir cet investissement pour déduction d'impôts filés sur les années à venir.

Si j'arrive à un COP annuel de 3,7 ( 37.000/10.000) , le RSI brut serait de 6 à 7 ans environ.....?
Mais çà c'est une autre histoire, car je trouve que je commence à beaucoup peiner à 0°C....
Je suis sans expérience sur le sujet et sans mesure de COP , donc pas facile
Les courbes fournisseur en mixant le mode piscine et le mode maison laissaient penser à 4,5 ( marche annuelle piscine intérieure) ce qui, sûr, ne sera pas possible

8°) REMERCIEMENTS
Cette présentation ne serait pas complète sans un grand remerciement à toux ceux qui m'ont aidé l'hiver dernier , soit en me renseignant, soit en m'encourageant soit en simplement intervenant pour faire part de leur expérience ou de leur suggestions.

Mes remerciements appuyés vont bien sûr à l'administrateur de ce forum magnifique, ainsi qu'à Vincent, qui m'a fait prendre confiance et Hd31( Hervé et son ami Jean) , qui n'a pas hésité aussi à m'aider par mail sur une panne d'horloge !
Je n'oublie pas Cédric ( Cedro35) avec qui j'ai pu échanger au téléphone sur sa SDEEC 65°C

9°) FUTUR
--Finition de la sur-isolation du ballon
--Suivi des températures par ordinateur comme pour l'énergie ( sondes maxim 1-wire ou possibilités de récupérer mes valeurs de thermostats AKO..??).
--Itow sur Mac ou suivi personnel : je réfléchis sur le sujet
--Contrôle temps réel des deux COP
--Rapatriement du Chiller Carel de l'extérieur dans la maison.

Je reste à la disposition de tous ceux qui voudraient des renseignements sur ce type de machine ou qui voudraient des éclaircissements sur des points particuliers de ma présentation.
En espérant ne pas avoir été trop long !!

Cordialement

Alain :wink:
Modifié en dernier par Alkhasar le sam. déc. 08, 2012 10:12 am, modifié 4 fois.
Croire et oser pour convaincre sans jamais cesser de rêver !
http://www.chaleurterre.com/forum/viewt ... 131#139131
nénu
Accro
Accro
Messages : 337
Enregistré le : lun. févr. 06, 2012 9:45 pm
Localisation : Plescop
Travaillez-vous dans le domaine des énergies ou du chauffage : Non

Message par nénu »

bonjour Alain

:shock:
merci pour cette SUPER présentation
Et félicitation pour ce boulot de ......titan :!: (je suis plus qu'admiratif de toutes ces auto installations présenter sur le forum)
encore bravo !


ced
Avatar du membre
Alkhasar
Très assidu
Très assidu
Messages : 171
Enregistré le : lun. nov. 28, 2011 4:56 pm
Localisation : Dans la galaxie de l'Eau Vive
Travaillez-vous dans le domaine des énergies ou du chauffage : Non
Contact :

Merci pour tes félicitations

Message par Alkhasar »

Bonjour Ced..ric

Merci beaucoup.
Je ne me croyais pas capable de faire cette installation, mais finalement en s'accrochant et en étant prudent, j'y suis arrivé.
C'est un des grands points positifs de ce genre de projet, on devient plus indépendant et surtout on apprend beaucoup sur le sujet, sur soi et ses limites , que l'on peut repousser !
Bien sûr, ce n'est possible qu'à la retraite ou avec un job qui laisse du temps !

Première nuit à -2°c pour ma PAC et cela s'est bien passé !
Record de consommation hier à 60 Kwh pour ce 1er décembre !!

Cordialement
Alain :wink:
Croire et oser pour convaincre sans jamais cesser de rêver !
http://www.chaleurterre.com/forum/viewt ... 131#139131
MHz
Scotché au forum
Scotché au forum
Messages : 838
Enregistré le : mar. oct. 30, 2007 1:04 am
Localisation : Toulouse
Travaillez-vous dans le domaine des énergies ou du chauffage : Non

Message par MHz »

Bonjour Alain,
superbe installation et bravo pour cette présentation très soignée aussi.
Je viens de lire en diagonale, et il me vient la remarque :
* as-tu pensé au solaire pour la piscine l'été? Tu as deja le ballon , il ne te manque que qqes capteurs
Cordialement,
PC+ BallonSolaireTSP+Technibel PHRT11+Chaudière Sunatherm60
KIt dégivrage G32 avec afficheur deporté
http://www.chaleurterre.com/forum/viewtopic.php?p=68133
http://itow.fr/itow/index.php?r=synopti ... 1362427631
Avatar du membre
Alkhasar
Très assidu
Très assidu
Messages : 171
Enregistré le : lun. nov. 28, 2011 4:56 pm
Localisation : Dans la galaxie de l'Eau Vive
Travaillez-vous dans le domaine des énergies ou du chauffage : Non
Contact :

Bonjour et Merci

Message par Alkhasar »

Bonjour Georges......non MHZ

Car je crois que tu es Georges bien connu d'Hervé et Jean ???
Non je me trompe ... dixt Hd3 ci-dessous !!:

Merci pour ton appréciation et tes compliments.

Je te les retourne largement , car tous tes schémas avec rajout d'explications ,appuyés de textes détaillés, vont encore plus loin que moi dans la volonté de partage et c'est plus qu'appréciable.
Nous sommes en tout cas "formaté" dans le même moule de la pédagogie et ce mot n'est pas péjoratif, car il est important de savoir transmettre.

Pour le solaire, oui, bien sûr je voudrai passer au solaire et c'est pour cela que j'ai investi dans ce ballon, même s'il est de mauvais qualité..
J'ai vu sur le forum Apper, que je n'étais pas le seul et que le thermo-siphonnage dans ces cas là était aussi très critique, la nuit !!

En effet, si je ne faisais pas du solaire à bas coût ( beaucoup de brouillard à Évian , on n'est pas à Toulouse) cela serait une erreur stratégique d'avoir 400l à cette T° plutôt que de marcher en flux plus tendu sur la production de la PAC, avec de telles déperditions !

Je pourrai récupérer un accélérateur de l'ancienne installation et installer deux panneaux au Sud qui n'est pas loin de ma chaufferie.
Mon problème essentiel réside dans les automatismes de commutation sur le solaire pour la piscine qui doit quitter le "plaques PAC", pour venir sur le TIT par l'ancien échangeur tubulaire lié à la chaudière...

De plus ce tubulaire est fait pour 75 °c au primaire !! Penses-tu que je puisse monter tout le ballon à cette T° ??

Enfin plein d'interrogations pour moi à ce stade.Il ne faut pas que je me retrouve avec une usine à gaz, car j''en ai déjà une bien belle !!
Aucune entreprise n'a voulu faire mon installation...:roll: :roll:


Néanmoins, je modifie mon § 8°) "FUTUR" en ajoutant cette perspective que j'avais oublié de mettre ! Merci

Je suis bien sûr preneur de tout conseil ou idée pour engager cette étape , vu ton expérience sur le sujet :idea:
Cordialement

Alain :wink:
Modifié en dernier par Alkhasar le dim. déc. 02, 2012 4:08 pm, modifié 1 fois.
Croire et oser pour convaincre sans jamais cesser de rêver !
http://www.chaleurterre.com/forum/viewt ... 131#139131
hd31
Resp. Section
Resp. Section
Messages : 3358
Enregistré le : dim. mars 18, 2007 12:21 pm
Localisation : Toulouse
Travaillez-vous dans le domaine des énergies ou du chauffage : Non
Contact :

Message par hd31 »

Bonjour,

belle installation en effet, et merci pour le petit mot :wink:

Georges, c'est Georges32, et MHz n'est pas Georges.

Mais si je ne me trompe pas, j'ai aussi rencontré MHz une fois pour la Téléinfo.
Avatar du membre
Alkhasar
Très assidu
Très assidu
Messages : 171
Enregistré le : lun. nov. 28, 2011 4:56 pm
Localisation : Dans la galaxie de l'Eau Vive
Travaillez-vous dans le domaine des énergies ou du chauffage : Non
Contact :

Bonjour Oh habitants de la ville rose !

Message par Alkhasar »

Merci pour ce retour et le compliment !
J'ai donc mal déduit et confondu par mauvaise lecture des échanges !
Sorry pour MHZ, si ce n'est Georges ton prénom, mais j'avais des indices apparemment concordants...Toulouse , informatique et solaire ... !

Cordialement
Alain :wink:

PS Hervé ...une idée ?? :idea:
Connais-tu mes thermostats AKO ( société espagnole) ?
Les miens AKO D14123 sont juste avant la génération RS432 et annoncés non connectables !
Néanmoins, ils possèdent tous un broche 4 pin sur le côté, non référencée dans une aucune doc espagnole, mais ici en UK :
http://www.pro-therm.co.uk/akod14123.html

On voit bien le connecteur 4p sur la droite.
Impossible de dialoguer avec l'Espagne !
Le représentant français appelé deux fois et relancé 3 fois , fait silence ...un dénommé LOPEZ....il manque un "U" avant le P , manifestement !!

Comment puis-je savoir si j'ai qulq chose sur ces broches ???
Il me faut un oscilloscope , je suppose
Le voltmètre ne donnera rien sauf si on a une recopie analogique ?
Merci d'avance pour tes précieuses connaissances dans ce domaine ! :wink: :wink:
Croire et oser pour convaincre sans jamais cesser de rêver !
http://www.chaleurterre.com/forum/viewt ... 131#139131
MHz
Scotché au forum
Scotché au forum
Messages : 838
Enregistré le : mar. oct. 30, 2007 1:04 am
Localisation : Toulouse
Travaillez-vous dans le domaine des énergies ou du chauffage : Non

Re: Bonjour et Merci

Message par MHz »

Alkhasar a écrit : Merci pour ton appréciation et tes compliments.[/b]
Je te les retourne largement , car tous tes schémas avec rajout d'explications ,appuyés de textes détaillés, vont encore plus loin que moi dans la volonté de partage et c'est plus qu'appréciable.
merci de ces compliments, ( et me comparer à Georges, quel honneur!) c'est vrai qu'il faut faire un petit effort pour coucher ses notes et retours d'expérience sur ce forum ( qui n'est pas tres ergonomique hein?) mais on est payé en retour qd cette experience a pu etre [re]utilisée pour rendre une opération plus efficace (à différentes points de vue : technique, economique, sociale..). C'est une démarche gagnant-gagnant:
* expliciter ses retours permet de partager et donc aussi de murir son expérience,
* et d'avoir ( en échange) des retours des autres contributeurs ( éventuellement plus expérimentés dans le domaine concerné ou connexes)
Pour le solaire, oui, bien sûr je voudrai passer au solaire et c'est pour cela que j'ai investi dans ce ballon, même s'il est de mauvais qualité..
En effet, si je ne faisais pas du solaire à bas coût ( beaucoup de brouillard à Évian , on n'est pas à Toulouse) cela serait une erreur stratégique d'avoir 400l à cette T° plutôt que de marcher en flux plus tendu sur la production de la PAC, avec de telles déperditions !
oui, c'est très bien déjà ce ballon et à 1ere vue, il ne manque que les capteurs ( + peut etre une regulation solaire). Je comprends qu'il suffit d'alimenter l'echangeur du ballon solaire, ensuite les circuits avec V3V vont distribuer l'energie en fonction....

De mes retours sur le solaire je peux dire( que même si on est sur-dimensionné en capteurs) qu'il ne fait pas trop compter ( même à Toulouse)sur des apport solaires en Nov, Dec et Janv.
Donc il faut donc dimensionner les capteurs au minimum pour l'ECS et la piscine. Je te conseillerai des capteurs à tubes ( type Kmax ou Atmos) qui sont simples à installer et maintenir ( voir ici : http://www.bysun.fr/)
Avec 2 panneaux de 18 tubes( cout 1jk€) ça couvre l'ECS sur plus de 6 mois. Si tu as la place, avec 2 panneaux de plus ca chauffe vraiment en été! J'ai fait une installation en terrasse, (ce qui est facible et faisable soi-meme et modulaire--en plus pas besoin de grimper sur le toit pour la maintenance)
Une régulation solaire ( circulateur inclus) avec fonctions anti-gel et logs sur carte SD. coute moins de 300€ ( il est possible d'avoir une regul seule à moins de 100€ sur ebay)
Le systeme ATMOS me parait intéréssant car il permet de faire une installe indépendante du courant EDF ( vidange auto si conditions de gel ou surchauffe) Mais je crois que pour fonctionner les capteurs doivent etre à une altitude supérieure au ballon
Pour info voici un relevé de février 2012- On a eu un peu d'apport solaire, alors que en janvier rien du tout!
Image
Je ne peux malheureusement condensre ce type de lofgs sur un an, mais mois/mois ils montrent les journées où j'ai eu des apports solaires ( T capteur > à 35°)

Mon problème essentiel réside dans les automatismes de commutation sur le solaire pour la piscine qui doit quitter le "plaques PAC", pour venir sur le TIT par l'ancien échangeur tubulaire lié à la chaudière...

De plus ce tubulaire est fait pour 75 °c au primaire !! Penses-tu que je puisse monter tout le ballon à cette T° ??

Là j'ai pas tout compris, un petit schema devrait clarifier. Moi je comprends qu'il suffit de raccorder le circuit capteurs à un des echangeurs du ballon. Ensuite la regul solaire va règler le débit d'eau en fonction des performances de l'échangeur.
Chez moi la T°C capteur monte en été à 70-90°, car je charge le ballon ECS au maxi, avant de passer sur la piscine. Evidemment en inter saison, le ballon ne se c harge qu'à 40-55°C

Enfin plein d'interrogations pour moi à ce stade.Il ne faut pas que je me retrouve avec une usine à gaz, car j''en ai déjà une bien belle !!

d'apres l'installation en place, ce n'est pas une regulation de plus ( la solaire) qui devrait t'effrayer.
PC+ BallonSolaireTSP+Technibel PHRT11+Chaudière Sunatherm60
KIt dégivrage G32 avec afficheur deporté
http://www.chaleurterre.com/forum/viewtopic.php?p=68133
http://itow.fr/itow/index.php?r=synopti ... 1362427631
Avatar du membre
nappe phreatique
Resp. Section
Resp. Section
Messages : 2383
Enregistré le : mer. déc. 21, 2005 1:16 pm
Localisation : 63
Travaillez-vous dans le domaine des énergies ou du chauffage : Non

Message par nappe phreatique »

Salut Alkhasar

Sacrée installation, en plus du fait maison : bravo !!
Et merci pour le partage.

Après, il serait surement judicieux d'analyser le fonctionnement sur une bonne période (une année complète) pour se faire une bonne idée des modifications a apporter.

Quand j'observe ton cas, 3 choses sautent au yeux :

- Le poids du chauffage de la piscine sur le total est énorme.
- Ta maison est tres sobre (env 60 kWh/m2/an), pour du 1997, c'est excellent : vu ta position géo, c'est du RT2012
- Ta position géo est tres favorable à un travail de dégivrage considérable : froideur tres humide, fréquence élevé de périodes entre -5 et +5°C avec un pourcentage d'humidité relative tres élevée (!!!)

Donc pour la maison : sobre, PC + radiat surdimensionnés, tu es au top

Pour la Piscine : Conso élevée : y-a-til des marges de manœuvre pour diminuer la conso ? plus de 20 000 kWh pour une piscine intérieur me semble plutôt élevé. L'isolation murale, 10 à 12 cm de polystyrène, et 20 cm de LDV en plafond, c'est peut être un peu juste : les déperditions d'une pièce très chaude et humide (eau à 29°C, air à probablement plus de 25 °C) augmentent considérablement les déperditions par rapport à du 21°C, il suffit de calculer le DJU 25 voire 29°C, on se fait peur (!!!)

Pour le dégivrage : le surveiller de prés, essayer d'en mesurer l'impact (COP, temps dédié, perte de charge aérolique de l'evap au début du dégivrage... et essayer de l'optimiser.

Pour le solaire, j'ai peur que ta position (brouillards/stratus fréquents) ne soit pas très favorable, SAUF pour la piscine (été et intersaison), (et bien sur l'ECS, mais c'est un petit budget énergie).
-
Amicalement,
François

Double PAC O/O Nibe
http://www.chaleurterre.com/wiki/doku.p ... phreatique

Bureau d’Étude spécialisé dans la rénovation chauffage des grandes demeures.
Avatar du membre
Alkhasar
Très assidu
Très assidu
Messages : 171
Enregistré le : lun. nov. 28, 2011 4:56 pm
Localisation : Dans la galaxie de l'Eau Vive
Travaillez-vous dans le domaine des énergies ou du chauffage : Non
Contact :

Çà cela fait plaisir

Message par Alkhasar »

Cela fait plaisir d'avoir de tels commentaires !

Bonjour François,

On sent le super pro et merci pour tout cela et tes félicitations!
Le partage me semble normal, car à la conception j'ai été très content de rencontrer toutes les compétences de ce forum qui est fréquenté par des sacrées pointures.....
Et quand je suis ton post récent avec toutes tes économies sur accélérateur et pompe piscine en substitution, je vois là mes lacunes et j'ai beaucoup à apprendre des autres...!!
Pour le reste, J'ai fait au mieux de mes capacités , parfois très limitées comme aujourd'hui , où je ne suis pas sûr de ce que je fais dans le relayage quand il faut modifier de côté organique , de mon CC mal compris par le fournisseur.


1°) SUIVI PAC
nappe phreatique a écrit :Salut Alkhasar
Après, il serait surement judicieux d'analyser le fonctionnement sur une bonne période (une année complète) pour se faire une bonne idée des modifications a apporter.
Je suis d'accord avec toi et ma PAC est déjà sous EXCEL pour ses suivis conso et quasiment depuis le début.
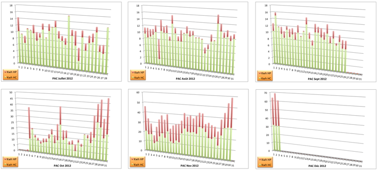
Voilà les graphes de suivi PAC....j'ai les mêmes pour la totalité de la maison.

Pour l'instant je suis assez bien la modélisation globale (thermique et géographique, calée sur 10 ans de mes consommations) que j'avais faite, sauf que la PAC est moins performante qu'espéré et qu'elle consomme 15 à 20 % de plus en été sur l'échangeur pisicine / à ce qui a été vendu...Cela sûrement de la même eau avec l'échangeur ECS/maison , qui est moins performant.
Image

Ainsi , j'obtiens Conso en Kwh :
* Juillet: Prévue : 250 Obtenue : 337
* Aout : Prévue : 240 Obtenue : 349
* Sept: Prévue : 330 Obtenu e: 299
* Octobre: Prévue : 656 Obtenue: 626
* Novembre: Prévue : 1188 Obtenue : 1089

Total 5 1er mois Prévue : 2664 Obtenue : 2700

ce qui est trop beau et ne durera pas !!
En effet pour l'instant je ne ne peux caler les DJU théorque du modèle avec la T° ext moyenne réelle qui n'est pas enregistrée à ce jour dans mon MAC !
Donc tout çà est un peu de la chance et du hasard !

La prévision pour Décembre se situe à 1410 kwh pour 3,4°C ext de moyenne !
Depuis samedi il fait plutôt entre 0°C de moyenne et cela givre dur comme tu le dis et prévu
Si j'extrapole les 7 derniers jours comme image de décembre je tomberai à 1850 kwh sur le mois et le modèle donne si 0°C de moyenne 1620 !! Ma PAC est donc sous-dimensionnée sûrement de 15 à 20 % par aux performances vendues...et le brouillard froid cogne dur !!

Sur les bases ci-dessus le premier semestre serait à 4550 kwh et sachant que le deuxième semestre pèse 55% du total annuel....
La consommation annuelle serait de l'ordre de 10.000 kwh au lieu de 37/38 000

soit un COP de 3,8 sur l'année, loin de ce que l'on m'a vendu...mais affaire à suivre


2°) ANALYSE DE MES PERTES
nappe phreatique a écrit :Salut Alkhasar

- Le poids du chauffage de la piscine sur le total est énorme.
- Ta maison est tres sobre (env 60 kWh/m2/an), pour du 1997, c'est excellent : vu ta position géo, c'est du RT2012
- Ta position géo est tres favorable à un travail de dégivrage considérable : froideur tres humide, fréquence élevé de périodes entre -5 et +5°C avec un pourcentage d'humidité relative tres élevée (!!!)

Donc pour la maison : sobre, PC + radiat surdimensionnés, tu es au top

Pour la Piscine : Conso élevée : y-a-til des marges de manœuvre pour diminuer la conso ? plus de 20 000 kWh pour une piscine intérieur me semble plutôt élevé. L'isolation murale, 10 à 12 cm de polystyrène, et 20 cm de LDV en plafond, c'est peut être un peu juste : les déperditions d'une pièce très chaude et humide (eau à 29°C, air à probablement plus de 25 °C) augmentent considérablement les déperditions par rapport à du 21°C, il suffit de calculer le DJU 25 voire 29°C, on se fait peur (!!!)
Ton analyse est parfaite, mais il faut la moduler , par le fait que l'on ne peut rien contre l'évaporation d'un bassin couvert 23H/24 et la pression partielle d'évaporation de H20.
J'ai un MÈTRE d'isolant en périphérie et le radier est trop faible......mais
J'ai une perte FATALE mini de 20l/jour d'eau ce qui fait une chaleur latente perdue 12.800 Kcal !
Je te laisse faire la conversion en W dans le bons sens, des fois qu'Alain30 me corrige encore une faute de frappe sur un texte parti en pleine écriture et sans relecture

Il faut considérer que cette eau me coûte 10 kwh/jour par le compresseur du déshu, qui m'en donne 26 dans l'air, ce qui fait que faire le G chez moi tient du casse-tête !


Mes fenêtres ne sont pas à la hauteur de 2012, mais en 97 , j'ai mis ce que l'on faisait de mieux....pas possible d'avoir du 4/16/4 !
Je suis en rupture de pont thermique mais les joints de vitrage sont fatigués !

3) DÉGIVRAGES
nappe phreatique a écrit :Salut Alkhasar
Pour le dégivrage : le surveiller de prés, essayer d'en mesurer l'impact (COP, temps dédié, perte de charge aérolique de l'evap au début du dégivrage... et essayer de l'optimiser.
Je suis d'accord , mais sans référence sur le sujet.
De plus Consowatts me les loupe si on commence par un dégivrage car je ne vois plus le drop vers le bas ! Donc j'ai du mal à les compter
Ma PAC fait les dégivrages en 5 minutes à mi-puissance environ et ce jour elle va en faire un douzaine et c'est un jour bien pourri . Cela me ferait à priori
12x5 = 60 minutes ...soit 4 kwh sur la journée sur une cons totale de 60 soit 7 %

Est-ce prohibitif ???


Tu ne me dis rien pour l'idée de clarinette avec recyclage de l'air surchauffé de ma chaufferie ???? Est-ce une bonne idée ?

Peut être que je fausse la sonde dégivrage en réchauffant le bas de l'évaporateur et que toute la surface supérieure a un mauvais rendement ??
On croit gagner et on perd ??

Comment peut-on optimiser les dégivrages ?????
N'est-ce pas fatal le % HR de l'air ??
J'arrive à -7/8°C entre l'ambiance et le T° évap ...Normal je n'en sais rien ??


Pour le solaire , d'accord , il faut bricoler et investir peu, mais avec une piscine intérieure cela vaut le coup de s'y pencher

Merci d'avance pour tes réponses et commentaires
Amicalement

Alain
Modifié en dernier par Alkhasar le mar. déc. 04, 2012 6:58 pm, modifié 2 fois.
Croire et oser pour convaincre sans jamais cesser de rêver !
http://www.chaleurterre.com/forum/viewt ... 131#139131
Avatar du membre
alain30
VIP Chaleurterre
VIP Chaleurterre
Messages : 2932
Enregistré le : lun. oct. 27, 2008 1:20 pm
Localisation : 30 Salindres
Travaillez-vous dans le domaine des énergies ou du chauffage : Non
Contact :

Re: Çà cela fait plaisir

Message par alain30 »

Alkhasar a écrit :d'avoir de telles commentaires !
:evil: :evil:
Avatar du membre
nappe phreatique
Resp. Section
Resp. Section
Messages : 2383
Enregistré le : mer. déc. 21, 2005 1:16 pm
Localisation : 63
Travaillez-vous dans le domaine des énergies ou du chauffage : Non

Re: Çà cela fait plaisir

Message par nappe phreatique »

Alkhasar a écrit : Je suis d'accord avec toi et ma PAC est déjà sous EXCEL pour ses suivis conso et quasiment depuis le début.
Voilà les graphes de suivi PAC....j'ai les mêmes pour la totalité de la maison.
Salut Al,

Merci pour les compliments, je vais rougir :oops:

Tes graphs sont trop petits, et peu lisibles : en plus grand ce sera mieux.

A mon avis, une grosse partie de ta surconso vient d'un mauvais dimensionnement de ton échangeur :

http://www.technogroupe.be/TECHNOGROUPE ... titane.pdf

Le Heat Line 40 fait 40 kW pour un régime thermique 90/70 coté primaire (chaudière haute température !!!), eau de piscine à 26°C, or ta piscine est plus chaude et ta SDEEC est une moyenne température, le but est de travailler à basse temé avec un débit élevé et non l'inverse, bien sur, pour cela il faut travailler avec un échangeur plus grand, donc plus cher, MAIS c'est un investissement unique, au depart, pour économiser sur des années, et vu ta conso pour la piscine, ça vaut le coup de s'y pencher.

Regarde ici

http://www.piscine-plus.fr/UserFiles/Fi ... emonte.pdf

page 6, un echangeur qui fait 40 kW avec une eau primaire à 90°C pour une eau de piscine à 30°C, ne fait plus qu'une douzaine de kW avec une eau primaire à 50°C (!!!)

Or travailler à 50°C n'a rien de fabuleux pour ton COP !

L'idéal serait plutôt seulement une dizaine de °C au dessus de la tempé piscine : 40°C.

Il faut donc un échangeur "surdimensionné", spécialement adapté à l'utilisation d'une PAC !

Page 7, le medèle 90 kW, une extrapolation de la courbe montre qu'a 40°C, pour une eau de piscine à 30°C, l'échangeur doit encore faire une bonne dizaine de kW, donc avec un COP trés amélioré.

Après, ça se dimensionne avec précision par des ingé spécialisés. Perso, je travaille avec Spirec, je crois qu'ils font aussi de l'échangeur piscine. Leurs ingé déterminent le bon matériel en fournissant la puissance nécessaire, les débits (primaire et secondaire), les tempé que l'on souhaite (primaire et secondaire). C'est du sur mesure.


Ajout au sujet du DJU et des conso relatives simulées/mesurées


Tu parles de DJU : quelle base
18°C ?

Car sur les quelques mois en question (été automne), avec ta piscine à 29°C et un air à 25°C (par exemple), c'est au moins le DJU base 25°C qu'il faut prendre (ça se recalcule facilement si on a des séries météo), en plus, l'apport solaire passif est énorme sur ces mois en question, ce qui ajoute une difficulté à la simulation.

Il te faut faire une double simulation :

Maison (DJU classique base 18, saison de chauffe classique)
Piscine (DJU amélioré, base 2---, apports solaire passifs conséquents, 365 jours de chauffe).

Dans ton premier message tu donne des chiffres de conso relatives (piscine maison, ECS) : c'est issue de mesure (sous compteur de calories...) de simulations, ou d'un "mix" (mesures des conso été : piscine seule , et extrapolations) ?
-
Amicalement,
François

Double PAC O/O Nibe
http://www.chaleurterre.com/wiki/doku.p ... phreatique

Bureau d’Étude spécialisé dans la rénovation chauffage des grandes demeures.
Avatar du membre
Alkhasar
Très assidu
Très assidu
Messages : 171
Enregistré le : lun. nov. 28, 2011 4:56 pm
Localisation : Dans la galaxie de l'Eau Vive
Travaillez-vous dans le domaine des énergies ou du chauffage : Non
Contact :

Mon message

Message par Alkhasar »

est parti trop vite et par erreur !
Modifié en dernier par Alkhasar le mar. déc. 04, 2012 7:12 pm, modifié 1 fois.
Croire et oser pour convaincre sans jamais cesser de rêver !
http://www.chaleurterre.com/forum/viewt ... 131#139131
Avatar du membre
Alkhasar
Très assidu
Très assidu
Messages : 171
Enregistré le : lun. nov. 28, 2011 4:56 pm
Localisation : Dans la galaxie de l'Eau Vive
Travaillez-vous dans le domaine des énergies ou du chauffage : Non
Contact :

Re: Mon message

Message par Alkhasar »

est parti trop vite et par erreur !


Et tu as répondu plus vite que moi !
Merci de relire tout mon message....notamment sur l'évaporation ??

Je te relirai plus tard, mais je crois à priori, que tu n'as pas saisi que mon heat line est hors service !
Il fonctionnait avec la chaudière en HT !
Ma PAC a DEUX ÉCHANGEURS à plaques sur R410 commutables en auto sur programmation.

L'avantage de ma RMP ( maison/piscine) c'est que j'ai économisé un plaque à 3000 €....obligatoire dans mon cas.

Amicalement

Alain
Modifié en dernier par Alkhasar le mar. janv. 01, 2013 12:29 pm, modifié 1 fois.
Croire et oser pour convaincre sans jamais cesser de rêver !
http://www.chaleurterre.com/forum/viewt ... 131#139131
Avatar du membre
nappe phreatique
Resp. Section
Resp. Section
Messages : 2383
Enregistré le : mer. déc. 21, 2005 1:16 pm
Localisation : 63
Travaillez-vous dans le domaine des énergies ou du chauffage : Non

Re: Mon message

Message par nappe phreatique »

Alkhasar a écrit :est parti trop vite et par erreur !


Et tu as répondu plus vite que moi !
Je te relirai plus tard, mais je crois que tu n'as pas saisi que mon heat line est hors service !
Il fonctionnait avec la chaudière en HT !
Ma PAC a DEUX ÉCHANGEURS à plaques sur R422 commutables en auto sur programmation.
Oops, en effet, j'avais mal compris le coup du changement d'échangeur. Mais la question reste posée : quel est le régime thermique de fonctionnement de ce nouvel échangeur (débit et couples de températures primaires et secondaires) pour chauffer ta piscine à 29°C ? C'est ici que l'on gagne du COPA. Visiblement le nouvel échangeur est bien plus performant, et tu parles d'un COP de 4,5 en été mais ce COP est basé sur ces fameux couples de tempé et débit.

Et sinon, quelle est la puissance de la pompe piscine et ses plages horaires de fonctionnement ? Pour ces pompes piscine (tres) gros débit, le point important, et j'ai vu que tu a tout compris et en parlais, c'est de faire la chasse aux pertes de charges (coudes, vannes, retrecissements, échangeur...)
-
Amicalement,
François

Double PAC O/O Nibe
http://www.chaleurterre.com/wiki/doku.p ... phreatique

Bureau d’Étude spécialisé dans la rénovation chauffage des grandes demeures.
Répondre

Retourner vers « Votre installation - Pompes à chaleur »